Hatena Blog Tags

クリティカルパス

(一般)
くりてぃかるぱす

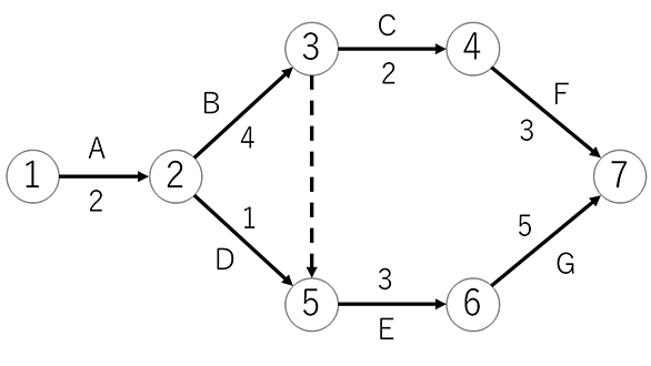
プロジェクトを遂行するときに、それぞれの作業の順、かかる時間を調査し、この作業が遅れたら全体が遅れてしまうという、スケジュール上の線をさす。
医学現場においては、クリティカルパスは、入院日数を決定する項目の順をさす。

このタグの解説についてこの解説文は、すでに終了したサービス「はてなキーワード」内で有志のユーザーが作成・編集した内容に基づいています。その正確性や網羅性をはてなが保証するものではありません。問題のある記述を発見した場合には、お問い合わせフォームよりご連絡ください。

ネットで話題

もっと見る

関連ブログ